2022-06-30
Description
Given the root of a binary tree, return the inorder traversal of its nodes' values.
Example 1:

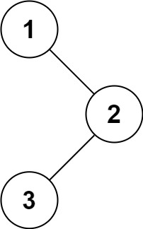
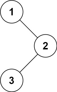
Input: root = [1,null,2,3]
Output: [1,3,2]Example 2:
Input: root = []
Output: []Example 3:
Input: root = [1]
Output: [1]Constraints:
The number of nodes in the tree is in the range
[0, 100].-100 <= Node.val <= 100
Solution
Approach #0: Recursive
/**
* Definition for a binary tree node.
* type TreeNode struct {
* Val int
* Left *TreeNode
* Right *TreeNode
* }
*/
func inorderTraversal(root *TreeNode) (ans []int) {
var dfs func(*TreeNode)
dfs = func(node *TreeNode) {
if node == nil {
return
}
dfs(node.Left)
ans = append(ans, node.Val)
dfs(node.Right)
}
dfs(root)
return
}Approach #1: Iterative
/**
* Definition for a binary tree node.
* type TreeNode struct {
* Val int
* Left *TreeNode
* Right *TreeNode
* }
*/
func inorderTraversal(root *TreeNode) (ans []int) {
st := []*TreeNode{}
for root != nil || len(st) > 0 {
for root != nil {
st = append(st, root)
root = root.Left
}
root = st[len(st)-1]
st = st[:len(st)-1]
ans = append(ans, root.Val)
root = root.Right
}
return
}Last updated