2022-06-22
Description
Given the root of a binary tree, return the leftmost value in the last row of the tree.
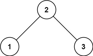
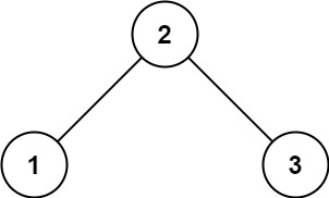
Example 1:

Input: root = [2,1,3]
Output: 1Example 2:

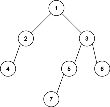
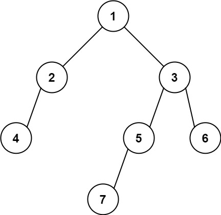
Input: root = [1,2,3,4,null,5,6,null,null,7]
Output: 7Constraints:
The number of nodes in the tree is in the range
[1, 10^4].-23^1 <= Node.val <= 23^1 - 1
Solution
Approach #0: BFS
/**
* Definition for a binary tree node.
* type TreeNode struct {
* Val int
* Left *TreeNode
* Right *TreeNode
* }
*/
func findBottomLeftValue(root *TreeNode) (ans int) {
queue := []*TreeNode{root}
for len(queue) > 0 {
size := len(queue)
for i := 0; i < size; i++ {
node := queue[i]
if i == 0 {
ans = node.Val
}
if node.Left != nil {
queue = append(queue, node.Left)
}
if node.Right != nil {
queue = append(queue, node.Right)
}
}
queue = queue[size:]
}
return
}Approach #1: BFS
/**
* Definition for a binary tree node.
* type TreeNode struct {
* Val int
* Left *TreeNode
* Right *TreeNode
* }
*/
func findBottomLeftValue(root *TreeNode) (ans int) {
queue := []*TreeNode{root}
for len(queue) > 0 {
node := queue[0]
queue = queue[1:]
if node.Right != nil {
queue = append(queue, node.Right)
}
if node.Left != nil {
queue = append(queue, node.Left)
}
ans = node.Val
}
return
}Approach #2: DFS
/**
* Definition for a binary tree node.
* type TreeNode struct {
* Val int
* Left *TreeNode
* Right *TreeNode
* }
*/
func findBottomLeftValue(root *TreeNode) (ans int) {
var cur int
var dfs func(*TreeNode, int)
dfs = func(node *TreeNode, depth int) {
if node == nil {
return
}
depth++
dfs(node.Left, depth)
dfs(node.Right, depth)
if depth > cur {
cur = depth
ans = node.Val
}
}
dfs(root, 0)
return
}Last updated