2022-06-28
Description
Given a linked list, swap every two adjacent nodes and return its head. You must solve the problem without modifying the values in the list's nodes (i.e., only nodes themselves may be changed.)
Example 1:

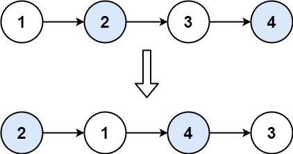
Input: head = [1,2,3,4]
Output: [2,1,4,3]Example 2:
Input: head = []
Output: []Example 3:
Input: head = [1]
Output: [1]Constraints:
The number of nodes in the list is in the range
[0, 100].0 <= Node.val <= 100
Solution
Approach #0
/**
* Definition for singly-linked list.
* type ListNode struct {
* Val int
* Next *ListNode
* }
*/
func swapPairs(head *ListNode) *ListNode {
cur := head
for cur != nil && cur.Next != nil {
next := cur.Next
cur.Val, next.Val = next.Val, cur.Val
cur = next.Next
}
return head
}Last updated