2022-06-27
Description
Given the root of a binary tree and an integer targetSum, return true if the tree has a root-to-leaf path such that adding up all the values along the path equals targetSum.
A leaf is a node with no children.
Example 1:

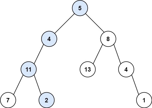
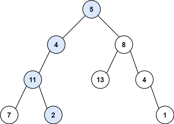
Input: root = [5,4,8,11,null,13,4,7,2,null,null,null,1], targetSum = 22
Output: true
Explanation: The root-to-leaf path with the target sum is shown.Example 2:

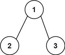
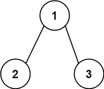
Input: root = [1,2,3], targetSum = 5
Output: false
Explanation: There two root-to-leaf paths in the tree:
(1 --> 2): The sum is 3.
(1 --> 3): The sum is 4.
There is no root-to-leaf path with sum = 5.Example 3:
Input: root = [], targetSum = 0
Output: false
Explanation: Since the tree is empty, there are no root-to-leaf paths.Constraints:
The number of nodes in the tree is in the range
[0, 5000].-1000 <= Node.val <= 1000-1000 <= targetSum <= 1000
Solution
Approach #0: DFS
/**
* Definition for a binary tree node.
* type TreeNode struct {
* Val int
* Left *TreeNode
* Right *TreeNode
* }
*/
func hasPathSum(root *TreeNode, targetSum int) bool {
if root == nil {
return false
}
if root.Left == nil && root.Right == nil {
return root.Val == targetSum
}
return hasPathSum(root.Left, targetSum-root.Val) || hasPathSum(root.Right, targetSum-root.Val)
}Approach #1: BFS
/**
* Definition for a binary tree node.
* type TreeNode struct {
* Val int
* Left *TreeNode
* Right *TreeNode
* }
*/
func hasPathSum(root *TreeNode, targetSum int) bool {
if root == nil {
return false
}
nodeQ := []*TreeNode{root}
valQ := []int{0}
for len(nodeQ) > 0 {
node := nodeQ[0]
nodeQ = nodeQ[1:]
val := valQ[0]
valQ = valQ[1:]
if node.Left == nil && node.Right == nil && val+node.Val == targetSum {
return true
}
if node.Left != nil {
nodeQ = append(nodeQ, node.Left)
valQ = append(valQ, node.Val+val)
}
if node.Right != nil {
nodeQ = append(nodeQ, node.Right)
valQ = append(valQ, node.Val+val)
}
}
return false
}Last updated