2022-05-30
Description
Given the head of a sorted linked list, delete all nodes that have duplicate numbers, leaving only distinct numbers from the original list. Return the linked list sorted as well.
Example 1:

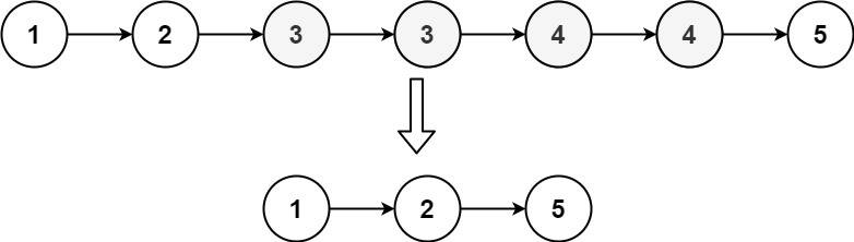
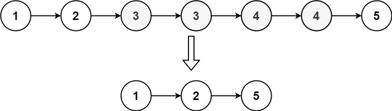
Input: head = [1,2,3,3,4,4,5]
Output: [1,2,5]Example 2:

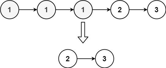
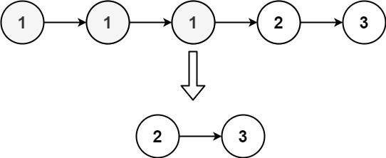
Input: head = [1,1,1,2,3]
Output: [2,3]Constraints:
The number of nodes in the list is in the range
[0, 300].-100 <= Node.val <= 100The list is guaranteed to be sorted in ascending order.
Solution
Approach #0
/**
* Definition for singly-linked list.
* type ListNode struct {
* Val int
* Next *ListNode
* }
*/
func deleteDuplicates(head *ListNode) *ListNode {
return dfs(head, -101)
}
func dfs(cur *ListNode, val int) *ListNode {
if cur == nil {
return nil
}
if cur.Val == val || (cur.Next != nil && cur.Next.Val == cur.Val) {
return dfs(cur.Next, cur.Val)
}
cur.Next = dfs(cur.Next, cur.Val)
return cur
}Approach #1
/**
* Definition for singly-linked list.
* type ListNode struct {
* Val int
* Next *ListNode
* }
*/
func deleteDuplicates(head *ListNode) *ListNode {
if head == nil {
return nil
}
newHead := &ListNode{Next: head}
cur := newHead
for cur.Next != nil && cur.Next.Next != nil {
if cur.Next.Val == cur.Next.Next.Val {
v := cur.Next.Val
for cur.Next != nil && cur.Next.Val == v {
cur.Next = cur.Next.Next
}
} else {
cur = cur.Next
}
}
return newHead.Next
}Description
Given an integer array nums, return all the triplets [nums[i], nums[j], nums[k]] such that i != j, i != k, and j != k, and nums[i] + nums[j] + nums[k] == 0.
Notice that the solution set must not contain duplicate triplets.
Example 1:
Input: nums = [-1,0,1,2,-1,-4]
Output: [[-1,-1,2],[-1,0,1]]Example 2:
Input: nums = []
Output: []Example 3:
Input: nums = [0]
Output: [] Constraints:
0 <= nums.length <= 3000-10^5 <= nums[i] <= 10^5
Solution
Approach #0
func threeSum(nums []int) [][]int {
sort.Ints(nums)
n := len(nums)
var res [][]int
for i := 0; i < n; i++ {
if i > 0 && nums[i] == nums[i-1] {
continue
}
k := n - 1
for j := i + 1; j < n; j++ {
if j > i+1 && nums[j] == nums[j-1] {
continue
}
for j < k && nums[i]+nums[j]+nums[k] > 0 {
k--
}
if j == k {
break
}
if nums[i]+nums[j]+nums[k] == 0 {
res = append(res, []int{nums[i], nums[j], nums[k]})
}
}
}
return res
}Description
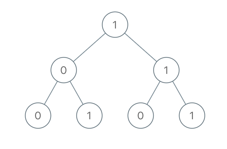
You are given the root of a binary tree where each node has a value 0 or 1. Each root-to-leaf path represents a binary number starting with the most significant bit.
For example, if the path is
0 -> 1 -> 1 -> 0 -> 1, then this could represent01101in binary, which is13.
For all leaves in the tree, consider the numbers represented by the path from the root to that leaf. Return the sum of these numbers.
The test cases are generated so that the answer fits in a 32-bits integer.
Example 1:

Input: root = [1,0,1,0,1,0,1]
Output: 22
Explanation: (100) + (101) + (110) + (111) = 4 + 5 + 6 + 7 = 22Example 2:
Input: root = [0]
Output: 0 Constraints:
The number of nodes in the tree is in the range
[1, 1000].Node.valis0or1.
Solution
Approach #0
/**
* Definition for a binary tree node.
* type TreeNode struct {
* Val int
* Left *TreeNode
* Right *TreeNode
* }
*/
func sumRootToLeaf(root *TreeNode) int {
return sum(root, 0)
}
func sum(node *TreeNode, num int) int {
if node.Left != nil && node.Right != nil {
return sum(node.Left, num<<1+node.Val) + sum(node.Right, num<<1+node.Val)
}
if node.Left != nil {
return sum(node.Left, num<<1+node.Val)
}
if node.Right != nil {
return sum(node.Right, num<<1+node.Val)
}
return num<<1 + node.Val
}Approach #1
/**
* Definition for a binary tree node.
* type TreeNode struct {
* Val int
* Left *TreeNode
* Right *TreeNode
* }
*/
func sumRootToLeaf(root *TreeNode) int {
var val, res int
var stack []*TreeNode
var pre *TreeNode
for root != nil || len(stack) > 0 {
for root != nil {
val = val<<1 | root.Val
stack = append(stack, root)
root = root.Left
}
root = stack[len(stack)-1]
if root.Right == nil || root.Right == pre {
if root.Left == nil && root.Right == nil {
res = res + val
}
val = val >> 1
stack = stack[:len(stack)-1]
pre = root
root = nil
} else {
root = root.Right
}
}
return res
}Last updated