2022-06-19
Description
Given the root of a binary tree, return the most frequent subtree sum. If there is a tie, return all the values with the highest frequency in any order.
The subtree sum of a node is defined as the sum of all the node values formed by the subtree rooted at that node (including the node itself).
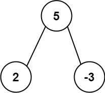
Example 1:

Input: root = [5,2,-3]
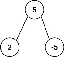
Output: [2,-3,4]Example 2:

Input: root = [5,2,-5]
Output: [2]Constraints:
The number of nodes in the tree is in the range
[1, 10^4].-10^5 <= Node.val <= 10^5
Solution
Approach #0
/**
* Definition for a binary tree node.
* type TreeNode struct {
* Val int
* Left *TreeNode
* Right *TreeNode
* }
*/
func findFrequentTreeSum(root *TreeNode) (ans []int) {
m := make(map[int]int)
var big int
var dfs func(*TreeNode) int
dfs = func(node *TreeNode) int {
if node == nil {
return 0
}
sum := node.Val + dfs(node.Left) + dfs(node.Right)
m[sum]++
if m[sum] > big {
big = m[sum]
}
return sum
}
dfs(root)
for k, v := range m {
if v == big {
ans = append(ans, k)
}
}
return
}
Last updated